核苷酸
核苷酸(英語:)是核酸的基本组成单位。核苷酸以一個含氮鹼基為核心,加上一個五碳糖和一個或者多个磷酸基團組成。含氮碱基有五种,分别是腺嘌呤(A)、鸟嘌呤(G)、胞嘧啶(C)、胸腺嘧啶(T)和尿嘧啶(U)。五碳糖为去氧核糖者称为去氧核糖核苷酸(DNA的單體),五碳糖为核糖者称为核糖核苷酸(RNA的單體)。

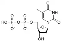
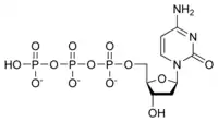
核苷酸的結構。常見的核酸成分的結構元素。因為它們包含至少一個磷酸基團,該化合物標記為單磷酸核苷,二磷酸核苷和三磷酸核苷全都是核苷酸(不是簡單磷酸鹽缺乏核苷)。

核苷酸單體的結構。該核苷酸包含:(一)一個五碳糖為脫氧核糖,(二)一個含氮鹼基為腺嘌呤,(三)一個磷酸基。具體來說,脫氧核糖和腺嘌呤組成一個脫氧核糖核苷,再與一個磷酸基團結合成一種去氧核糖核苷酸(DNA的核苷酸成分),或名去氧腺苷單磷酸。
依核苷酸数量,又分为寡核苷酸(少于或等于15个核苷酸)和多核苷酸(15个核苷酸以上)。
合成
核苷酸可以通過多種體外(In vitro)和體內(In vivo)方法來合成。
在體內,核苷酸可以從頭合成(De novo synthesis)或补救途径(Salvage pathway)合成[1]。在從頭合成中使用碳水化合物和胺基酸的代謝产物作为合成前體。肝臟是從頭合成核苷酸的主要器官。嘧啶和嘌呤的从头合成遵循两个不同的途径。嘧啶首先从细胞质中的天冬氨酸和胺基甲酰-磷酸合成到共同的前体环结构乳清酸,其上磷酸化的核糖基单元共价连接,而嘌呤首先从发生环合成的糖模板合成。作为参考,嘌呤和嘧啶核苷酸的合成由细胞的细胞质中的几种酶进行,而不在特定的细胞器内。核苷酸经历分解,使得有用的部分可以在合成反应中重复使用以产生新的核苷酸。
作用
利用
註釋
- Zaharevitz, DW; Anerson, LW; Manlinowski, NM; Hyman, R; Strong, JM; Cysyk, RL. .
延伸閱讀
- Sigel, Astrid; Operschall, Bert P.; Sigel, Helmut. . Astrid, S.; Helmut, S.; Sigel, R. K. O. (编). . Metal Ions in Life Sciences 17. de Gruyter. 2017: 319–402. doi:10.1515/9783110434330-011.
外部連結
This article is issued from Wikipedia. The text is licensed under Creative Commons - Attribution - Sharealike. Additional terms may apply for the media files.





























