脎
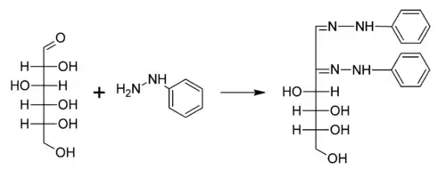
脎(英語:,汉语拼音:,注音:ㄙㄚˋ),也称糖脎,是糖类的苯肼衍生物。糖脎为难溶于水的黄色结晶[1],由糖与苯肼反应生成,分解又得到原来的糖,因此可以用于糖的提纯。费歇尔在当年研究糖的构型时,采用了分析各种糖生成的糖脎的方法,因为不同的脎结晶形状不同,熔点不同,生成时间也不同。

脎的分子内氢键。

葡萄糖脎的球棍模型。
以葡萄糖为例,生成糖脎的反应需用三分子的苯肼与一分子的糖进行反应。当苯肼用量为一摩尔时,得到苯腙。而后经互变异构发生1,4-消除,转化为亚氨基酮,再与两分子的苯肼成脎。
苯肼只和糖的C-1和C-2成脎后,分子内氢键使其形成较为稳定的六元环结构,从而糖的其他碳原子不再成脎。
成脎反应。

糖脎的合成以及反应机理
参见
- 糖苷
- 糖化学
注释
- . 北京: 化学工业出版社. : 287. ISBN 9787122206855.
This article is issued from Wikipedia. The text is licensed under Creative Commons - Attribution - Sharealike. Additional terms may apply for the media files.