ANRORC机理
ANRORC机理,即亲核加成(addition of the nucleophile)+开环(ring-opening)+关环(ring-closing)机理,是一种取代反应机理。[1] [2] [3]常见于杂环化合物的亲核取代反应中。
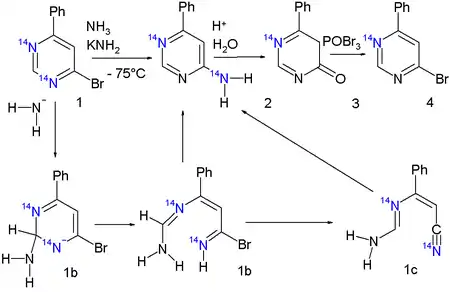
低温下在液氨中用金属氨基盐(如氨基钠)作亲核试剂与取代嘧啶(如下图中的4-苯基-6-溴嘧啶,1)的ANRORC反应已被深入研究。反应具体机理见图3。该机理主要是通过以下方法得知的:
1)反应主要产物是溴被氨基取代而产生的4-苯基-6-氨基嘧啶(2)。反应不生成5-取代异构体,说明反应不经过苯炔中间体。

ANRORC图例
2)以哌啶锂为碱时,反应中还可分离出开环的腈中间体(在消除溴化氢后生成),同样否定了Meisenheimer中间体的存在。

ANRORC图例
3)用氘标记底物的C5,但反应产物中没有发现氘原子的存在。该现象可以通过下图中,4a与4b间互变异构所导致的H-D快速交换而得以解释。

ANRORC图例
4)将嘧啶的两个氮原子各用3%的 14N 标记,发现最终产物 4 中同位素含量大约减少一半,说明一个环氮原子已被所用试剂中的氮原子所替代。

ANRORC图例
参见
- Zincke反应:ANRORC机理的另一个例子
参考资料
- The SN(ANRORC) mechanism: a new mechanism for nucleophilic substitution Henk C. Van der Plas Acc. Chem. Res.; 1978; 11(12) pp 462 - 468; doi:10.1021/ar50132a005
- Vanderplas H. C. . Advances in Heterocyclic Chemistry. 1999, 74: 9–86. ISBN 978-0-12-020774-9.
- Vanderplas H. C. . Advances in Heterocyclic Chemistry. 1999, 74: 87–151. ISBN 978-0-12-020774-9.
This article is issued from Wikipedia. The text is licensed under Creative Commons - Attribution - Sharealike. Additional terms may apply for the media files.